INTRODUÇÃO
Landsberg et al. (2003) sugerem o uso de estudos dos solos para estimar o fertility rating (FR), mas esta metodologia coloca problemas de execução significativos. Embora haja um conhecimento bastante limitado da relação entre o FR e as propriedades do solo (Landsberg et al., 2003), têm sido feitos esforços importantes para ligar os ciclos de nutrientes com o modelo Physiological Principles in Predicting Growth (3-PG), bem como avanços no desenvolvimento de funções empíricas entre o FR e as características do solo.
Almeida et al. (2010) apresentaram um modelo de FR em função da fertilidade do solo e da água disponível, considerando também outros fatores como o declive e os efeitos da gestão do povoamento. No trabalho de Vega-Nieva et al. (2013), foram selecionadas várias parcelas de eucalipto, nas quais foram estudadas as características do solo, incluindo uma descrição completa do respetivo perfil, a textura, o pH, a matéria orgânica e realizada a inerente análise química. Para cada parcela, o valor da água disponível no solo foi calculado, e o valor do FR foi determinado, minimizando as diferenças entre os valores de biomassa observados e os estimados. Foi desenvolvido um modelo para prever o valor de FR a partir da quantidade de água disponível no solo e alguns nutrientes com efeitos significativos na fertilidade, no caso, fósforo, potássio, cálcio e magnésio. Oliveira (2015), igualmente em eucalipto, estabeleceu modelos ao nível da estação, com uma razoável capacidade preditiva do FR em função das características do solo, mas sem revelarem qualquer padrão comum. Ao procurar estabelecer um modelo global usando a totalidade dos dados das diferentes estações, a capacidade preditiva dos modelos obtidos foi bastante menor do que a dos modelos locais. Nunes et al. (2022) e Nunes (2023) procuraram encontrar o valor de FR que correspondia a uma melhor estimativa da evolução da biomassa, usando uma função de penalização Ef com base nas biomassas lenhosa (tronco e ramos) e de folhas, designadas respetivamente por Wwy e Wl:
e, de seguida, tentou desenvolver um modelo matemático para obter o valor de FR a partir das características do solo, nomeadamente o teor de nutrientes. Este objetivo saiu frustrado, uma vez que foi observada uma tendência para o FR “absorver” os erros da simulação: quando os valores da biomassa aérea são estimados por defeito, o valor ótimo de FR tende para 1 de modo a diminuir a alocação para as raízes e aumentar, assim, o valor estimado da biomassa aérea; pelo contrário, quando a biomassa aérea é estimada por excesso, o valor ótimo de FR tende para zero.
Bown et al. (2013) propuseram uma visão alternativa, substituindo o FR baseado tradicionalmente na intuição ou na experiência por um modificador nutricional determinado a partir da % de azoto (N) e da razão C/N na camada 0-10 cm do solo. Alerta, no entanto, para a possibilidade de, noutros locais, as limitações ao crescimento das árvores estarem relacionadas com outros nutrientes que não o carbono e o azoto.
Uma primeira aproximação a esta metodologia consistiu em avaliar a possível existência de uma relação entre o volume das árvores e o teor em nutrientes do solo.
Com os dados disponibilizados para situações em que existem medições biométricas e resultados analíticos de diferentes nutrientes do solo, neste caso de eucalipto, procurou-se ajuizar da viabilidade desta hipótese.
MATERIAIS E MÉTODOS
Inicialmente, utilizaram-se os ensaios realizados pela empresa ALTRI, para avaliar o efeito de diferentes esquemas de adubação no crescimento da Eucalyptus globulus. Para um maior detalhe sobre estes ensaios de fertilização e respetivos resultados, consultar Nunes et al. (2022) e Nunes (2023). Os resultados apresentados referem-se, apenas, ao ensaio realizado na propriedade designada por Belgão, do concelho de S. Pedro do Sul, distrito de Viseu. Devido aos problemas de mortalidade verificados nos ensaios das restantes propriedades, optou-se por não os considerar no presente trabalho, uma vez que o volume por ha das árvores se encontrar grandemente afetado por este fator. Determinou-se o volume das árvores (m3 ha-1) aos 10 anos de idade e verificou-se a sua relação com os diferentes nutrientes do solo analisados (kg ha-1) para cada uma das 24 parcelas que constituíam o ensaio.
Considerando a reduzida representatividade à escala do país (apenas 4 locais) dos resultados obtidos com os ensaios de fertilização anteriores, procurou-se junto da ALTRI a disponibilização de dados que conjugassem a avaliação biométrica das árvores com análises dos solos das respetivas parcelas. Foi possível encontrar um conjunto 153 parcelas permanentes acompanhadas das respetivas análises ao solo, mas com poucas medições de biometria das árvores, em resultado da descontinuação deste tipo de avaliação. Destas 153, selecionou-se um conjunto de 80 parcelas permanentes para as quais era possível calcular, pelo menos, o volume das árvores aos 5 anos de idade. Verificou-se, de seguida, a relação entre o volume das árvores (m3 ha-1) aos 5 anos de idade e o teor dos diferentes nutrientes do solo analisados, uma vez que não estava disponível a informação sobre a massa volúmica aparente do solo das diferentes parcelas. As 80 parcelas foram divididas em 5 conjuntos em que se procurou conseguir obter um número equilibrado de parcelas. Em 3 destes conjuntos foi possível incluir apenas parcelas de um único distrito (Aveiro, Lisboa ou Santarém), enquanto nos 2 restantes conjuntos, foi necessário incluir parcelas de diferentes distritos (Braga, Porto e Viseu no conjunto 4 e Coimbra e Leiria no conjunto 5).
As determinações analíticas dos solos nas duas situações avaliadas foram as seguintes: percentagem de areia, limo e argila para cada parcela e ainda os seguintes parâmetros químicos - pH (H2O e KCl), % de M. O., P e K pelo método Egner-Riehm; catiões não ácidos (Ca, Mg, K e Na); acidez de troca; Al de troca e a CTC a pH 7. Foram, igualmente, determinados o Cu, o Fe, o Mn, e o Zn, pelo método de Lakanen e o B, por extracção com H2O.
RESULTADOS E DISCUSSÃO
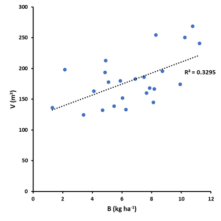
Nas parcelas do ensaio de Belgão, S. Pedro do Sul, observou-se uma tendência para o volume das árvores aos 10 anos, terem uma relação crescente com a quantidade de carbono do solo (Figura 1) e com a quantidade de boro (Figura 2), embora pouco significativa. Esta tendência parece estar de acordo com o observado por Bown et al. (2013) para o Pinus radiata, e o impacto que a acessibilidade de Boro no solo tem para a produção de biomassa de E. globulus (Junior et al., 2021).

Figura 1 Relação entre o volume das árvores aos 10 anos de idade e a quantidade de carbono no solo. Ensaios Fertilização ALTRI - Belgão, S. Pedro do Sul, Viseu.

Figura 2 Relação entre o volume das árvores aos 10 anos de idade e a quantidade de boro no solo. Ensaios Fertilização ALTRI - Belgão, S. Pedro do Sul, Viseu.
Tendência semelhante foi observada quanto ao teor de carbono nas parcelas do distrito de Aveiro (Figura 3) e quanto ao teor de boro das parcelas do distrito de Lisboa e do distrito de Santarém (Figura 4). Nas parcelas deste último parece existir uma forte relação entre os valores da CTC a pH7 e o volume das árvores (Figura 5), o que poderá indicar um papel significativo deste parâmetro nos solos das referidas parcelas na disponibilização de nutrientes.

Figura 3 Relação entre o volume das árvores aos 5 anos de idade e o teor de carbono no solo. Parcelas permanentes - Distrito de Aveiro.

Figura 4 Relação entre o volume das árvores aos 5 anos de idade e o teor de boro no solo. Parcelas permanentes - Distritos de Lisboa (A) e de Santarém (B).

Figura 5 Relação entre o volume das árvores aos 5 anos de idade e o valor da CTC do solo a pH 7. Parcelas permanentes - Distrito de Santarém.
Nos conjuntos resultantes da junção de parcelas com mais do que um distrito de origem (4 e 5), de modo a obter-se um número mínimo de parcelas coerente com os restantes, não se observaram tendências significativas entre o acréscimo de volume das árvores e o acréscimo do teor em nutrientes no solo. A opção de agrupar parcelas pertencentes a mais do que um distrito, poderá ter criado conjuntos de parcelas em que o impacto das eventuais diferenças da meteorologia dos locais, terá sido superior à influência do teor dos vários nutrientes do solo, no volume das árvores (Nunes, 2023).
CONCLUSÕES
A existência de uma possível relação entre o volume das árvores e o teor em nutrientes do solo parece confirmar-se, como uma linha de trabalho a explorar.
Constata-se, igualmente, a necessidade de recorrer a dados biométricos de árvores de parcelas que tenham sido medidas ao longo de várias rotações, por forma a garantir períodos temporais de medições mais dilatados, possibilitando assim o cálculo do volume das parcelas com idades mais consentâneas com o abate dos eucaliptos (10 a 12 anos). Esta opção irá implicar novas caracterizações dos solos dessas parcelas, que incluam também parâmetros físicos, como por exemplo a massa volúmica aparente, permitindo assim a expressão dos nutrientes em quantidades por hectare.













