INTRODUÇÃO
A paracanoagem é uma modalidade náutica e individual que tem como objetivo remar 200 metros o mais rápido possível (Comitê Paralímpico Brasileiro, 2023), presente no programa dos Jogos Paralímpicos desde o Rio de Janeiro, que ocorreu no ano de 2016 e, vem sendo disputado até os dias atuais com provas em canoas e caiaques (Edwards et al., 2019).
O público elegível para competir na paracanoagem são pessoas com deficiência físico-motoras no tronco e membros inferiores que apresentem: potência muscular prejudicada, ausência total ou parcial de ossos ou articulação nos membros inferiores e deficiência na amplitude do movimento passiva dos membros inferiores (International Canoe Federation, 2017).
Em relação ao desempenho motor na canoagem são investigados os efeitos de variáveis (Limonta et al., 2010; Therrien et al., 2012) que interferem na velocidade do atleta (Gomes et al., 2022; McDonnell et al., 2013; Vaquero-Cristóbal et al., 2013) dentre elas: comprimento da remada (CR), definida como a distância média percorrida pelo barco, durante a execução de um ciclo completo de remada do canoísta; frequência da remada (FR), que é número médio de remadas realizado pelo atleta em um determinado período sendo registrados em ciclos por minuto ou ciclos por segundo e; índice de remada (IR), que é a eficiência da remada do atleta, calculada pelo produto da velocidade instantânea e a frequência de remada (Castro & Carneiro, 2009; Vaquero-Cristóbal et al., 2013).
Um estudo realizado com 19 atletas de elite e sub-elite de canoagem em provas de 200 metros, utilizou um GPS e um acelerômetro para analisar o comprimento da remada e a frequência ao longo da prova, o resultado verificou que mesmo a frequência da remada seja uma variável importante, os atletas com comprimento de remada mais longo atingiram uma velocidade maior (Pickett et al., 2021).
Outro estudo envolvendo 15 canoístas do sexo masculino divididos em 3 grupos (cinco remadores de elite, quatro intermediário e seis iniciantes), identificou as variáveis cinemáticas que contribuem para o desempenho na canoagem e, os resultados demostraram que os remadores de elite apresentaram maior amplitude de movimento (cumprimento da braçada) do que os canoístas intermediários e novatos (Limonta et al., 2010).
Um estudo realizado com 26 atletas de paracanoagem que foram finalistas do campeonato mundial em 2017, verificou alterações no CR, FR e IR de acordo com a fase da prova (aceleração, manutenção e desaceleração) e classificação funcional (KL1, KL2 e KL3), acarretando uma diferença significativa na variável de tempo entre finalistas e medalhistas, oscilando de 1 a 3 segundos considerando todas as classificações funcionais em prova. Com isso, sugere-se que o treinador adquira conhecimentos específicos dentro de cada classe funcional e fase de prova, bem como identifique que os parâmetros de canoagem olímpicas não são precisos quando utilizadas com atletas com deficiência (Santos et al., 2021).
Posto isto, podemos observar que as variáveis (CR, FR, IR) interagem de forma singular e com potencial de transformação de resultados em competições alto nível, considerando o nível de experiência na modalidade e a classificação funcional. No entanto, os estudos de campo encontrados na canoagem com essas variáveis verificam resultados baseadas em atletas sem deficiência ou atletas com deficiência de elite. Até o momento não foi encontrado análise com essas variáveis relacionadas ao efeito do treinamento em atletas iniciantes com deficiência, o que mostra que ainda há lacunas na literatura.
A partir disso, o objetivo do presente estudo foi identificar quais os efeitos que a intervenção de 12 semanas de paracanoagem irá promover nas variáveis comprimento, frequência e índice de remada. O estudo teve como hipótese que a Efeitos do treinamento de paracanoagem intervenção do treinamento apresenta efeitos positivos nos resultados das variáveis para melhora do desempenho dos atletas.
MÉTODO
A presente pesquisa se caracteriza como estudo quantitativo por visar a quantificação dos efeitos da intervenção, além disso, não possui randomização da amostra e grupo controle, sendo assim um delineamento quasi-experimental (Thomas et al., 2009).
Amostra
Foram adotados como critérios de inclusão: faixa etária maior que 18 anos, apresentar documentação médica que conste a sua Classificação Estatística Internacional de Doenças e Problemas Relacionados com a Saúde (CID) e, liberação médica para prática de atividade física. Como critérios de exclusão: atingir frequência menor que 70% nas sessões de intervenção e ausência nos dias das coletas de dados. A amostra foi composta por 5 atletas iniciantes de paracanoagem, de ambos os sexos (3 homens e 2 mulheres) com idade entre 28 e 43 anos, com tempo de prática entre 6 e 12 meses, com classificação funcional KL2 (n= 2) e KL3 (n= 3), como mostra na Tabela 1. Todos os participantes eram residentes no Sertão de Pernambuco, região do Vale do São Francisco, e estavam vinculados ao núcleo regional de canoagem paralímpica de Petrolina, com isso, o recrutamento da amostra foi realizado por conveniência.
Tabela 1 Caracterização da amostra.
| Participantes | Sujeito 1 | Sujeito 2 | Sujeito 3 | Sujeito 4 | Sujeito 5 |
|---|---|---|---|---|---|
| Classificação funcional | KL3 | KL2 | KL3 | KL2 | KL3 |
| Sexo | M | M | F | F | M |
| Deficiência | Alteração ortopédica congênita | Lesão medular incompleta (T5), com paresia de MMI | Osteossarcoma em tíbia proximal esquerda | Sequela de poliomielite com paresia de MMI | Sequela de poliomielite com paresia de MMI direito |
| Idade (anos) | 41 | 33 | 28 | 37 | 43 |
| Tempo de deficiência (anos) | 41 | 13 | 17 | 35 | 43 |
Aspectos éticos
O presente projeto obedeceu às diretrizes e normas que regulamentam a pesquisa com seres humanos (Lei n° 466/12) e faz parte de um estudo maior, aprovado pelo Comitê de Ética e Deontologia em Pesquisa (CEDEP) da Universidade Federal do Vale do São Francisco com parecer n.3.892.500. O termo de consentimento livre e esclarecido foi apresentado aos voluntários da pesquisa em uma reunião inaugural, que teve como finalidade, informar os objetivos do estudo e os procedimentos a serem adotados, todos foram devidamente assinados.
Instrumentos
As avaliações foram individuais e o voluntário foi instruído a realizar um aquecimento composto por remar 800 metros, em uma intensidade de 60 remadas por minuto, para auxiliar no acompanhamento da intensidade, foi utilizado um metrônomo instalado em aparelho celular (Metronome beats®) que emitia sinais sonoros conforme a FR desejada. Posteriormente, o participante iniciou o teste de desempenho motor no espaço(S) 0 e, após o comando do avaliador 1 "Atenção, prepara, vai!" remou o mais rápido possível por um percurso de 200 metros, em linha reta, com boias aquáticas laterais a cada 25 metros, Efeitos do treinamento de paracanoagem delimitando o espaço simulando as provas oficiais da modalidade. No fim do percurso, estava o avaliador 2 que ficou responsável por cronometrar o tempo (Figura 1). Foram realizadas três tentativas com 10 minutos de intervalo entre elas, sendo considerada a com menor tempo para a análise dos dados. Por se tratar de um teste de campo, durante a sua execução, também foi mensurada a velocidade do vento por meio de um anemômetro digital (B-Max®) posicionado contra o sentido do remador.
Para diminuir o risco de viés, o local que ocorreram as avaliações foi em um lago artificial com apenas o avaliado no meio aquático, para não possuir interferência de ondas. Como forma de verificar a velocidade do vento foi utilizado um anemômetro digital em todas as avaliações. Com isso, os dados foram coletados em águas calmas, sem influência das correntes e com velocidade do vento inferior a 0,42 m/s (correspondendo ao ar calmo a leve na escala de Beaufort) (Saucier, 2003).
A captação dos dados relacionados às variáveis de desempenho motor foi realizada por meio de uma câmera de vídeo de ação (GoPro 7 Hero 143 Black®) com confiabilidade testada em estudos com canoagem (Miyazaki et al., 2023). O equipamento foi acoplado na proa do caiaque para captar a imagem frontal do avaliado, com frequência de 18 Hz e qualidade de imagem de 1.440 pixels.
Posteriormente, foi utilizado um programa de telemetria (Telemetry Overlay®) para extrair os dados da câmera de vídeo de ação, e o Kinovea® para analisar os dados do vídeo. Com isso, foi possível quantificar as variáveis de desempenho motor referentes ao comprimento, frequência e índice de remada (Tabela 2).
Tabela 2 Demonstração das variáveis de desempenho motor que foram adotadas no presente estudo.
| VARIÁVEL | DESCRIÇÃO |
|---|---|
| Índice de Remada | Multiplicação da velocidade instantânea (Vi) e a frequência da remada: IR= Vi. FR |
| Comprimento da Remada | Razão entre a distância(d) e frequência da remada (FR): CR= d/FR. Mensurada a partir da análise de vídeo e GPS da câmera de ação. |
| Frequência da remada | Ciclos de remada realizados por minuto. Contabilizadas por meio da análise de vídeo. |
Procedimentos
A coleta de dados foi realizada em um lago artificial com, aproximadamente, 400 metros de comprimento e 80 metros de largura, situado no município de Petrolina, PE, durante o período matutino e vespertino. O pesquisador responsável esteve presente em todas as coletas de dados e recebeu auxílio da equipe do Grupo de Estudo e Pesquisa em Atividade Física Adaptada (GEPAFA)/Univasf, previamente capacitada.
As coletas de dados ocorreram em dois momentos distintos: antes do período de intervenção (pré-teste) e após o período de 12 semanas de treinamento (pós- teste). Foram utilizados os caiaques (K1 paracanoagem, Pernambuco Fibras®), remo (Epic® e Jantex®) e adaptações que os atletas comumente utilizavam durante os treinamentos. Além disso, foram mantidas as adaptações e materiais nos momentos pré e pós. Em relação as adaptações feitas, foram utilizados EVAs por questões de segurança, para evitar desenvolvimento de escaras em alguns atletas, como também para melhor ajuste no caiaque. O local da intervenção foi em um clube náutico no município de Petrolina-PE, que possui estrutura adequada para o desenvolvimento das aulas de paracanoagem (acessibilidade arquitetônica, bebedouro, banheiros e píer acessível). O lago possui atestado de qualidade da água própria para esportes náuticos, com aproximadamente 400 metros de comprimento, 80 metros de largura e 1,60 metros de profundidade.
Inicialmente, foram realizados exercícios de mobilidade em meio terrestre (10 minutos de movimentos articulares de pescoço, tronco, ombro, cotovelos e punho) e aquecimento com movimentos técnicos em meio líquido (consistindo em movimentos de remada em deslocamento para frente e para trás; para o lado direito e esquerdo e movimentos completos de remada). Posteriormente, foram iniciadas as atividades em meio líquido de acordo com o objetivo geral da semana (treinamento de volume, aceleração, velocidade máxima e manutenção da velocidade).
As 12 semanas seguiram um planejamento baseado em características da modalidade, com periodização variando a intensidade, método e volume (Tabela 3). A intensidade foi baseada nos valores de frequência máxima de remada de cada atleta analisada no pré-teste, para esse controle foi utilizado um metrônomo acoplado individualmente nas embarcações.
Tabela 3 Periodização de treinamento da intervenção do presente estudo.
| Semana | Objetivo geral | Intensidade (%) | Método | Descrição | Volume (km) |
|---|---|---|---|---|---|
| 1 | Condicionamento geral | 50 | Intervalado Contínuo | 1 hora | 7 |
| 2 | Condicionamento geral | 60 | Intervalado Contínuo | 1 hora | 8 |
| 3 | Condicionamento geral | 70 | Intervalado Contínuo | 1 hora | 9 |
| 4 | Condicionamento geral | 80 | Contínuo Intervalado | 1 hora | 10 |
| 5 | Condicionamento geral Aceleração máxima | 60 100 |
Contínuo Intervalado | 40 minutos 5’ 4x 30s (saída dinâmica) 3’ | 7 |
| 6 | Condicionamento geral Aceleração máxima | 60 100 |
Contínuo Intervalado | 40 minutos 5’ 6x 30s (saída dinâmica) 3’ | 8 |
| 7 | Condicionamento geral Aceleração brusca | 70 100 |
Contínuo Intervalado | 40 minutos 5’ 4x 15s (saída estática) 3’ | 7 |
| 8 | Condicionamento geral Aceleração brusca | 70 100 |
Contínuo Intervalado | 40 minutos 5’ 6x 15s (saída estática) 3’ | 8 |
| 9 | Condicionamento geral Força de remada | 80 100 |
Contínuo Intervalado | 40 minutos 5’ 4x 20s (saída dinâmica) Com travão 3’ | 7 |
| 10 | Condicionamento geral Força de remada | 80 100 |
Contínuo Intervalado | 40 minutos 5’ 5x 20s (saída dinâmica) Com travão 3’ | 8 |
| 11 | Condicionamento geral Força de remada | 50 100 |
Contínuo Intervalado | 40 minutos 5’ 4x 20s (saída estática) com travão 3’ | 7 |
| 12 | Condicionamento geral Força de remada | 50 100 |
Contínuo Intervalado | 40 minutos 5’ 6x 20s (saída estática) com travão 3’ | 8 |
Travão: material de EVA utilizado enrolado na frente da embarcação com contato com a água que teve como objetivo de aumentar a resistência na remada e, com isso, demandar mais força do atleta para o deslocamento do barco.
Análise estatística
Para análise estatística, inicialmente, foi utilizado o teste de Shapiro Wilk para verificar se a distribuição dos dados era paramétrica ou não paramétrica. Posteriormente, foram utilizadas as análises descritivas (tendência central e dispersão). Para verificar os efeitos da intervenção, recorreu-se ao teste de Mann-Whitney. Os programas estatísticos adotados para análise e tratamento estatístico dos dados foram o IBM SPSS Statistics versão 22.0 (IBM Corporation) (Statistical Package for the Social Sciences) e GraphPad Prism 8. Por fim, o tamanho do efeito da intervenção foi calculado e classificado conforme escala d de Cohen em pequeno (0,2< 0,5), moderado (0,5< 0,8) e grande (≥ 0,8) (Cohen, 2016).
RESULTADOS
As variáveis de tempo (d= 0,68), CR (d= 0,51), FR (d= 0,52) e IR (d= 0,58) apresentaram tamanho do efeito moderado quando comparadas no pré e pós. Além disso foi possível verificar os valores de percentil de percentil 25, 50 e 75 de desempenho motor nos momentos pré e pós, o efeito do treinamento e a velocidade do vento, esses valores são apresentados na Tabela 4.
Tabela 4 Efeitos do treinamento no desempenho motor da amostra.
| Pré | Pós | ΔS | d | |||||
|---|---|---|---|---|---|---|---|---|
| 25 | 50 | 75 | 25 | 50 | 75 | |||
| Tempo (s) | 56,86 | 67,93 | 75,13 | 50,73 | 57,48 | 69,84 | ↓ 10,45 | 0,68 |
| CR (m) | 1,71 | 2,13 | 2,18 | 1,85 | 2,11 | 2,16 | ↓ 0,02 | 0,51 |
| FR (ciclos/min) | 84,55 | 95,38 | 107,77 | 92,90 | 98,12 | 110,13 | ↑ 2,74 | 0,52 |
| IR (m2.ciclos/s) | 4,55 | 6,53 | 7,53 | 5,31 | 7,41 | 8,52 | ↑ 0,88 | 0,58 |
| Vento (m/s) | 1,35 | 1,60 | 2,15 | 1,55 | 2,60 | 3,2 | ↑ 1,0 | - |
CR: comprimento de remada; FR: Frequência de remada; IR: Índice de remada; ΔS: diferença entre as medianas pré e pós; d: tamanho do efeito de Cohen.
Foi possível analisar o desenvolvimento do Índice de Remada a cada 25 metros da média pré e pós da amostra ao longo dos 200 metros. Nela, percebemos que há uma crescente no nível do Índice de Remada na fase de aceleração até 50 metros e logo após ocorre uma breve estabilidade na fase de manutenção e em seguida a diminuição do Índice de Remada na fase de desaceleração após 75 metros. Além disso, verificamos que, tanto o pré como o pós, apresentam comportamentos semelhantes em sua variação de Índice de Remada entre o momento de manutenção (50 metros) e desaceleração (75 metros), bem como entre 125 metros e 175 metros.
No entanto, ao chegar entre os 75 metros e 100 metros o Índice de Remada pré segue desacelerando quando comparado ao momento pós que, apesar da leve queda na aceleração, se mantém com maior estabilidade na manutenção do IR. Em contrapartida, ao alcançar a fase final da prova na distância entre 175 metros e 200 metros o Índice de Remada pós melhora seu desempenho e ganha aceleração enquanto o Índice de Remada pré desacelera (Figura 2). O tamanho do efeito do índice de remada geral apresentou valor moderado (d= 0,58).
A relação Comprimento de remada associada a distância percorrida, foi possível identificar que o pré e pós demonstram resultados semelhantes, exceto em dois pontos que foram entre 75 metros e 125 metros, e entre 125 metros e 175 metros, em ambos o pós apresentou uma diminuição do Comprimento de remada e logo após voltou a manter resultado semelhante do pré como mostra na Figura 3. A variável do comprimento de remada geral apresentou tamanho do efeito moderado (d= 051).
Ao verificar o desempenho da Frequência da remada total da amostra nos 200 m, é possível perceber que do início do teste até 150 metros, os resultados pós-intervenção apresentam valores de Frequência da remada maior quando comparado os resultados pré intervenção. Ao alcançar os 150 metros os valores do pós teste alcançam número menor que o pré-teste até os 200 metros (Figura 4). O tamanho do efeito da frequência da remada geral apresentou resultado moderado (d= 0,52).
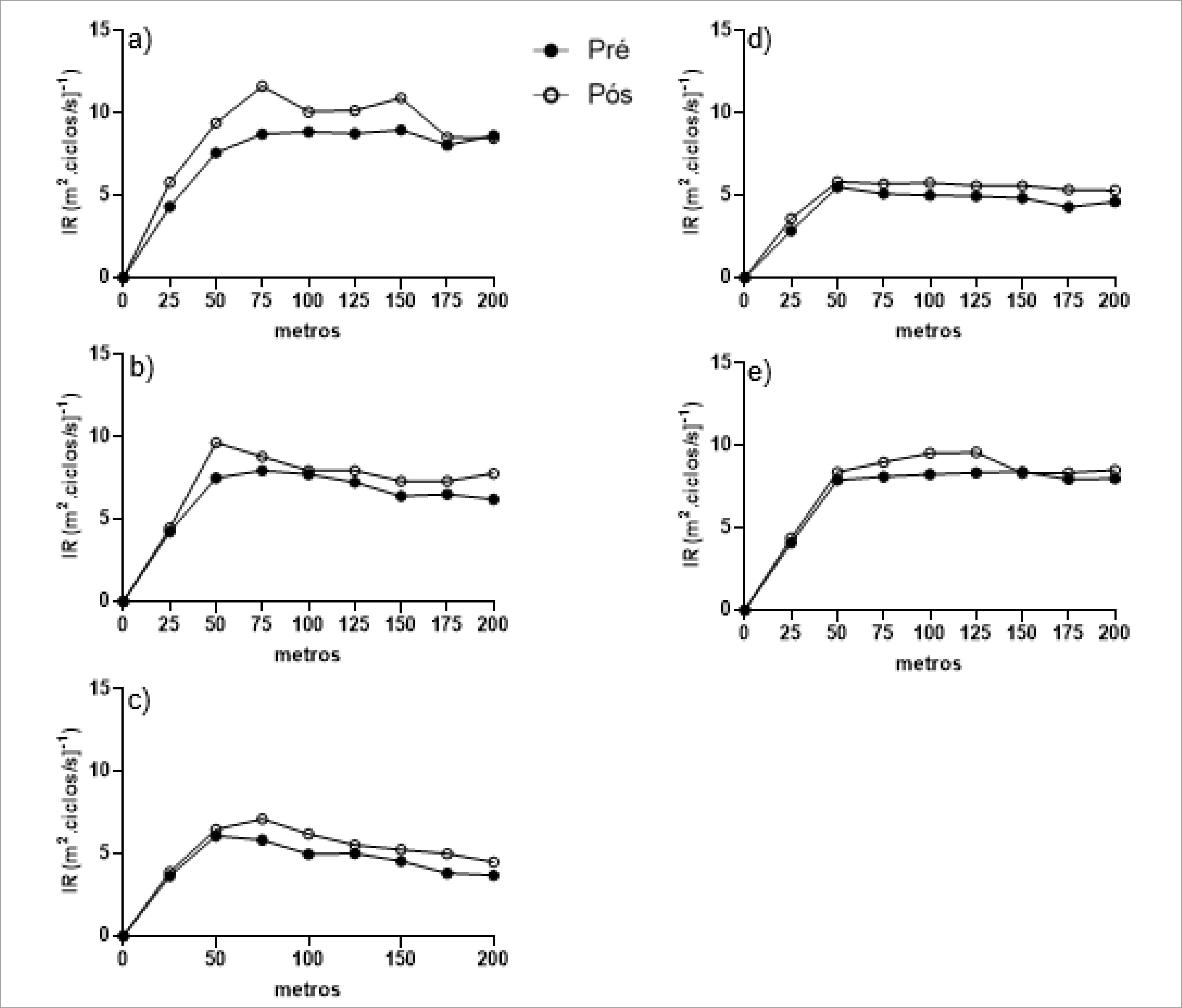
Foi analisado também desenvolvimento Índice de Remada durante os 200 m de cada voluntário do presente estudo. Os sujeitos da amostra apresentaram aumento no Índice de Remada após intervenção, principalmente, nos trechos iniciais de 25 a 75 metros, embora dois dos sujeitos tenham mantido semelhança nesses trechos iniciais com relação ao Índice de Remada pré: Sujeito C (com pré e pós com resultados próximo de 4 m2.ciclos/s nos 25 metros e próximo de 6 m2.ciclos/s nos 75 metros) e sujeito E (pré e pós com resultados próximos de 4 m2.ciclos/s nos 25 metros e próximo de 8 m2.ciclos/s nos 75 metros). A maioria dos sujeitos conseguiram maior estabilidade na fase de manutenção (100 a 150 metros) no pós teste, entretanto o sujeito E sofre uma queda brusca na sua manutenção de Índice de Remada aos 125 metros de prova (de 9,5 m2.ciclos/s para 9 m2.ciclos/s) mantendo uma constância, semelhante ao pré, a partir de 150 metros até o final da prova (Figura 5).
DISCUSSÃO
A modalidade paracanoagem vem se profissionalizando e ganhando maior espaço em competições nacionais e internacionais nos últimos anos (Edwards et al., 2019), com isso, o cenário esportivo propõe ampliação das análises de desempenho, buscando o trabalho individualizado e específico para cada atleta de acordo com a prova (Santos et al., 2021). É possível identificar o índice de remada (IR), comprimento de remada (CR) e frequência de remada (FR) como variáveis de desempenho importantes na canoagem (Castro & Carneiro, 2009).
Na canoagem o desempenho depende da frequência de braçada e da força propulsiva como evidenciado no estudo realizado por Therrien et al. (2012) que investigou o efeito da frequência de braçada (de 50 a 110 braçadas por minuto) sobre a cinemática e cinética da lâmina do remo com caiaque ergômetro em 14 remadores de elite e, verificou que a duração e o deslocamento da lâmina do remo na fase de tração diminuíram, enquanto as fases de entrada e saída permaneceram inalteradas.
Um estudo realizado por Gomes et al. (2015), verificou que a frequência da remada tem papel fundamental na velocidade do atleta, isso porque seus achados demonstraram que a força total deve ser aplicada associada a frequência adequada. Em outro estudo, realizado por Pickett et al. (2021) verificou os valores do comprimento da remada associado a frequência da remada são variáveis de desempenho importantes em atletas de canoagem.
A partir disso, mostra a relevância do presente estudo, visto que foram realizadas análises de campo com situação aproximada a uma prova oficial, no que se refere ao percurso executado, levando em consideração variáveis importantes de desempenho. Na paracanoagem a diversidade é esperada devido a classificação funcional possuir três níveis (KL1, KL2, KL3), e, portanto, apresenta características distintas em individualidade biológica, funcional e nas necessidades de adaptação das atividades (Gorgatti & Costa, 2013). Assim, a amostra que participou da pesquisa apresentou características heterogêneas em sexo, deficiência, tempo de deficiência e classificação funcional.
Através dos resultados, foi possível perceber, inicialmente, o tamanho do efeito moderado para as variáveis de tempo, CR, FR e IR, com isso é possível identificar que o treinamento de canoagem para atletas iniciantes com deficiência apresenta efeitos positivos no desempenho motor. Além disso, o aumento nos níveis do IR e diminuição do tempo, demonstram que a intervenção realizada produziu aumento da velocidade média durante o percurso de 200 m. Esse resultado demonstra que em 12 semanas, atletas iniciantes já apresentam essa melhora que, consequentemente, impacta na redução do tempo de prova.
Kinugasa et al. (2021) investigaram os efeitos de quatro semanas do treinamento de caiaque na água na cinemática de corpo inteiro e na cinética e na cinemática da remada (mensuradas por meio de um caiaque ergômetro) em um remador iniciante, onde seus resultados demostraram que o tempo necessário para realizar um percurso de 270 m foi reduzido em 7,3% do pré-treinamento (99,3 s) para o pós-treinamento (92,0 s), além disso, aumentou a frequência de braçada (62,8 para 81,0 ciclos/min) e o comprimento de braçada (1,53 para 1,71 m) após o treinamento, indo de acordo com os resultados do presente estudo.
Quando verificamos o gráfico da média do índice de remada dos voluntários que participaram, percebemos que todos os valores do pós-intervenção demonstraram melhora quando comparados com a média pré-intervenção, mostrando, com isso, que em uma visão geral a média da eficiência da remada melhorou. Sugere-se que esses efeitos positivos ocorreram, provavelmente, devido a aprendizagem motora da remada e de ganhos físicos gerados pelo treinamento.
O estudo de Limonta et al. (2010) cujo objetivo foi identificar as variáveis cinemáticas que contribuem para o desempenho na canoagem utilizando um simulador de caiaque e análise cinemática tridimensional, verificou que canoístas com maior nível técnico apresentam um maior comprimento da remada. A partir disso, podemos apontar que ocorreu um aumento da frequência da remada com a manutenção do ciclo da remada, produzindo acréscimo da velocidade e no índice de remada. Os resultados do estudo realizado por Gomes et al (2022), evidenciam a importância de alcançar maior frequência de braçada em remadores de caiaque de elite para aumentar a velocidade do caiaque, sendo que as durações das fases aquática e aérea correlacionaram-se negativamente com a frequência de braçada.
Em relação ao índice de remada, apesar de ter demonstrado diferença e um tamanho do efeito moderado quando comparados o pré e pós, ao analisar os gráficos individuais de cada sujeito, foi possível perceber que alguns ficaram sobrepostos, mostrando que a diferença não foi tão acentuada. O que pode ser explicado possivelmente pelo fato de a amostra ser heterogênea e que esses indivíduos necessitariam de um tempo maior de intervenção para que houvesse um maior efeito, levando em consideração sua individualidade biológica.
O estudo de Santos et al. (2023) corrobora com esse achado, visto que ao analisar atletas das três classes na paracanoagem verificou que há diferenças em variáveis como velocidade, frequência de braçadas e índice de braçadas de acordo com a individualidade biológica, até mesmo em atletas da mesma classe funcional. Um estudo realizado por Lee e Nam (2012), mostrou que canoístas que utilizam melhor amplitude de rotação de pelve, flexão e extensão de joelho apresentam melhor desempenho. Isso pode explicar a diferença do IR, visto que apenas três pessoas da amostra são da classe KL3 (classe que é possível realizar parte desses movimentos) e, ainda assim, a deficiência entre eles são distintas.
O estudo de Vaquero-Cristóbal et al. (2013) que analisou a evolução das variáveis cinemáticas em canoagem velocidade, encontrando variações entre os sexos masculino e feminino no CR e FR, enquanto o IR não foram encontradas diferenças. O estudo de Goreham et al. (2021) também identificou que as relações entre os parâmetros de braçada (frequência de braçada e comprimento de braçada) e velocidade do caiaque mudam dependendo do sexo do atleta e da distância da corrida em canoístas de elite de velocidade.
Quanto as aplicações práticas, esse estudo pode ser aplicado não apenas nas pesquisas, mas também por treinadores que visam quantificar variáveis de desempenho utilizando poucos materiais, com apenas três tentativas. Com isso, realizar mapeamento do atleta para traçar um perfil de desempenho, acompanhar seu rendimento e, consequentemente, analisar as variáveis que precisam melhorar para potencializar os resultados dos atletas.
Em relação a pontos fortes do estudo podemos citar, inicialmente a facilidade de aplicar esses testes, visto que são poucos equipamentos e com apenas um avaliador é possível realizar. Além disso, por se tratar de um estudo de campo, se aproxima da realidade do esporte, sendo que, não foram encontrados estudos de campo que investigassem os efeitos do treinamento na paracanoagem.
O presente estudo apresentou algumas limitações em sua aplicação. Uma delas é a amostra, ainda que a pesquisa tenha utilizado todos os atletas de canoagem paralímpica do estado, foi heterogênea e com número pequeno, visto que são pessoas com deficiências que atendem os pré-requisitos específicos da modalidade, isso dificulta que haja um grupo grande e homogêneo. Além disso, a captação de imagem foi apenas através de um plano frontal do atleta, talvez a captação simultânea de mais planos possa encontrar outras variáveis de desempenho. Vale ressaltar que é uma pesquisa de fácil aplicação que necessita de poucos avaliadores e com valor relativamente baixo.
No entanto, ainda que o estudo tenha obtido uma amostra pequena, com variação de tempo de prática e sem grupo controle, apresentou resultados relevantes para a modalidade com variáveis de desempenho importantes na canoagem paralímpica.
CONCLUSÕES
O presente estudo demonstrou que 12 semanas de treinamento apresentou efeitos moderados no desempenho com relação as variáveis de índice de remada e tempo de prova na canoagem paralímpica no percurso de 200 metros. Além disso, por outro lado, as variáveis de comprimento e frequência da remada não apresentaram melhoras estatísticas nesse contexto específico.Com isso, o estudo conclui que, 12 semanas de treinamento de canoagem demonstra mudanças positivas nas variáveis utilizadas. Compreende-se que, em relação a perspectivas futuras, é necessário a realização de novas pesquisas utilizando hipóteses com amostra maior e mais homogênea, variação do tempo de treinamento em atletas iniciantes, comparação entre o efeito em diferentes categorias de classes funcionais, bem como utilizar delineamentos com randomizações e grupo controle para um menor risco de viés.



















