INTRODUÇÃO
O desenvolvimento físico e a aquisição de hábitos alimentares saudáveis em idade pediátrica são cruciais para o estabelecimento de uma vida saudável, traduzindo-se em vantagens para a saúde tanto a curto como a longo prazo. A alimentação saudável contribui em larga escala para um adequado desenvolvimento físico e psicológico da criança (1) e influencia a modulação do risco de desenvolvimento de doenças crónicas não-transmissíveis ao longo do ciclo de vida, tais como a obesidade, doenças cardiovasculares, entre outras (2, 3). É nos primeiros anos de vida que se desenvolvem as preferências alimentares da criança e onde existe uma maior facilidade de modelação das mesmas (4). Para além disso, os hábitos alimentares adquiridos durante os primeiros dois anos de vida são considerados uma janela de oportunidade para a obtenção de ganhos em saúde (5-7).
De acordo com os dados do Inquérito Alimentar Nacional e de Atividade Física (IAN-AF) 2015-2016, as crianças portuguesas têm adquirido, desde tenra idade, hábitos alimentares pouco saudáveis que se podem traduzir numa tendência crescente de pré-obesidade e de obesidade com o aumento da idade (8). Além disso, os dados da coorte de nascimento portuguesa "Geração XXI" indicam uma tendência crescente na prevalência da obesidade durante a infância (9).
Segundo o Estudo Padrão Alimentar e de Crescimento na Infância (EPACI) de 2012, os hábitos alimentares das crianças com idades compreendidas entre os 12 e os 36 meses caracterizavam-se por um elevado consumo de laticínios, bebidas açucaradas, doces, snacks e salgados, e por um baixo consumo de hortícolas (10). Do mesmo modo, os dados do IAN-AF mostraram que os hábitos alimentares de crianças com idades compreendidas entre os 3 e os 9 anos se caracterizavam por um baixo consumo diário de frutas e hortícolas e por um consumo diário excessivo de refrigerantes e carnes vermelhas e processadas (8).
A literatura científica evidencia que a influência do ambiente nos hábitos alimentares é mais pronunciada no início da vida, diminuindo progressivamente ao longo dos anos. Por conseguinte, a modulação desses hábitos numa fase precoce pode ser significativamente influenciada pelo ambiente em que a criança está inserida (11, 12).
Dado que a creche é um local onde as crianças passam uma parte considerável do seu dia e é responsável por fornecer mais de 50% da sua alimentação diária, desempenha um papel crucial na formação e consolidação dos hábitos alimentares das crianças. No entanto, em Portugal, ainda não existe uma caracterização da oferta alimentar nestes espaços, pelo que o presente estudo pretende preencher esta lacuna.
OBJETIVOS
Caracterizar qualitativamente a oferta alimentar das creches nas refeições de almoço e lanche.
MATERIAL E METODOLOGIA
Tipo de Estudo e Espaço Temporal
Estudo observacional descritivo de desenho transversal realizado entre fevereiro e maio de 2022.
Seleção da Amostra
Amostra de conveniência contemplando a totalidade das Instituições Particulares de Solidariedade Social (IPSS) (n=18) que integraram o projeto Creche com Sabor e Saúde (C2S) (13), localizadas na região Norte e Centro de Portugal, com crianças dos 6 aos 36 meses. Todas as instituições convidadas para fazer parte deste projeto aceitaram. Destas, apenas 17 apresentavam crianças da faixa etária dos 6 aos 11 meses. Para responder ao objetivo proposto, foram consideradas na totalidade as IPSS para a faixa etária dos 12 aos 36 meses (n=18) e apenas 13 (73%) para a faixa etária dos 6 aos 11 meses, sendo que 4 não possuíam um plano de ementas, apesar de fornecerem refeições, mas de forma personalizada assumindo as diferentes fases da diversificação alimentar. O projeto C2S foi aprovado pela Comissão de Ética da Faculdade de Ciências da Nutrição e Alimentação da Universidade do Porto (Parecer n.º 77/2022/CEFCNAUP/2022).
Recolha de Dados
Para recolher informações sobre as características de cada IPSS e os seus procedimentos de gestão das refeições, foi aplicado um questionário online aos responsáveis das instituições, o que permitiu obter os seguintes dados: região de Portugal Continental onde se localiza a instituição (Norte ou Centro), meio onde se insere a instituição (rural ou urbano), o tipo de serviço de alimentação existente (autogestão ou serviço concessionado), o tipo de unidade (unidade de confeção de refeições ou de receção das mesmas), existência ou não de nutricionista no quadro de colaboradores, elaboração da ementa por um nutricionista (independentemente do mesmo estar ou não no quadro de colaboradores), quais as refeições fornecidas pela creche, existência de opção vegetariana, permissão de entrada de leite humano e receção de donativos alimentares.
No que concerne à avaliação qualitativa da oferta alimentar, procedeu--se à recolha (por email) dos planos de ementas do almoço relativas a 3 meses (12 semanas) anteriores ao início do projeto e da ementa dos lanches (ementa única). Posteriormente, foram criadas duas bases de dados, uma relativa à refeição do almoço e a outra, à refeição do lanche. Para avaliar as ementas do almoço de cada instituição e construir a respetiva base de dados, foi aplicada, por quatro investigadores do projeto, a ferramenta de avaliação qualitativa de ementas de almoço, desenvolvida no âmbito do projeto C2S (13), recorrendo às recomendações da Direção-Geral da Saúde (DGS), da European Society for Paediatric Gastroenterology Hepatology and Nutrition (ESPGHAN) e da Organização Mundial da Saúde (OMS) (14-16). Esta ferramenta considera três faixas etárias distintas: 6 a 8 meses, 9 a 11 meses e 12 a 36 meses, e é composta, respetivamente, por um total de 23, 47 e 48 itens, passíveis de serem avaliados como “Conforme”, “Não Conforme” ou “Não Aplicável” (13). A opção “não aplicável” foi utilizada sempre que a informação disponibilizada na ementa não permitia responder ao respetivo item, ou quando a instituição não disponibilizava a refeição relacionada com o item. A ferramenta apresenta grupos de itens distintos por cada grupo etário. O grupo dos itens dos “Critérios Gerais”, “Sopa”, “Sobremesa” e “Alimento fornecedor de proteína vegetal” está presente dos 6 aos 36 meses. Por outro lado, o grupo de itens “Alimento fornecedor de proteína animal”, “Componente fornecedor de hidratos de carbono”, “Leguminosas” e “Hortícolas” apenas se encontra presente dos 9 aos 36 meses.
Após a aplicação desta ferramenta, calculou-se a % de conformidade nas 12 semanas em estudo para cada item. Esta variável foi, posteriormente, parametrizada em 0%, >0-<25 %, 25-<50 %, 50-<75 %, 75-<100 % e 100% de conformidades. De seguida, calculou-se uma média da totalidade das % de cada item avaliado, de forma a obter um valor médio da qualidade das ementas de cada instituição.
Relativamente às ementas dos lanches, foram registados todos os alimentos e bebidas disponibilizados por cada instituição por faixa etária, sendo posteriormente organizados por grupos alimentares. Seguida mente, quatro investigadores do projeto procederam à categorização destes alimentos em “verde”, “amarelo” e “vermelho”, de acordo com a sua composição nutricional, segundo uma metodologia seguindo a lógica de semáforo nutricional desenvolvida no âmbito do projeto C2S (13), suportada cientificamente pelas orientações da DGS (17).
A Tabela 1 apresenta os critérios considerados para a classificação dos alimentos nesta metodologia.
Tabela 1 Critérios nutricionais para a categorização dos alimentos e bebidas dos lanches considerando a lógica do semáforo do Projeto Creche com Sabor e Saúde - C2S

Adaptado do manual “Guia para lanches escolares saudáveis” da Direção-Geral da Saúde e da Direção-Geral da Educação.
AG: Ácidos gordos
g: Grama
*Valores de referência considerados por 100 gramas de alimento
Sempre que necessário, as instituições foram contactadas via email ou telefone para esclarecer dúvidas das ementas e para se obter um nível mais detalhado de informações, como, por exemplo, as quantidades de açúcar presentes no iogurte e de gordura incluída no queijo que determinam a classificação dos alimentos no semáforo nutricional criado.
Tratamento e Análise dos Dados
A análise estatística foi realizada com recurso ao Software Package for Social Sciences (SPPS) para Windows V.27.0 e os resultados foram considerados estatisticamente significativos quando p <0,05. Para a análise descritiva das variáveis utilizaram-se as medidas de tendência central e de dispersão, nomeadamente frequências relativas e absolutas para variáveis nominais e média (desvio-padrão-DP) para variáveis contínuas. No que diz respeito ao estudo da associação entre a média do score total da ferramenta de avaliação das ementas do almoço e os fatores associados à oferta alimentar [zonas de Portugal (Norte vs. Centro), ter (ou não) nutricionista no quadro de colaboradores, possuir (ou não) ementas realizadas por um nutricionista e receber (ou não) donativos alimentares], procedeu-se à realização do teste t-student para amostras independentes.
RESULTADOS
Da totalidade das IPSS, 55,6% (n=10) situavam-se em meio urbano, 83,3% (n=15) funcionavam como unidades de confeção de refeições e 94,4% (n=17) possuíam um serviço de alimentação em autogestão. Em catorze instituições (77,8%) as ementas eram realizadas por um nutricionista, mas apenas 10 (55,6 %) tinham este profissional nos seus quadros de pessoal. Salienta-se que 61,1% das IPSS recebia donativos alimentares, sendo a grande maioria proveniente do Banco Alimentar (72,7%). Relativamente às refeições disponibilizadas, todas as instituições ofereciam a refeição almoço e quase a totalidade ofereciam o lanche da tarde (88,2% para a faixa dos 6 aos 11 meses e 100% dos 12 aos 36 meses). Contudo, apenas cinco (29,4%) e oito instituições (44,4%) ofereciam o lanche da manhã para as crianças entre os 6 e os 11 meses e para crianças entre os 12 e os 36 meses, respetivamente (Tabela 2). A água foi a única bebida disponibilizada à refeição e o azeite a única gordura utilizada na confeção em todas as IPSS do presente estudo. A adição de sal na preparação e confeção das refeições verificou-se em 10 instituições (83,3%) nas refeições dos 6 e os 8 meses e na totalidade das mesmas (n=18) a partir dos 9 meses.
No que concerne à avaliação qualitativa das ementas, a média (DP) da % de conformidades de cada instituição foi de 70,6 (4, 7), com um mínimo de 63,7% e um máximo de 81,2 % (Tabela 3). Estes valores não foram significativamente diferentes no que diz respeito à localização da instituição (Norte vs. Centro) (ρ=0,118), à presença (ou não) de um nutricionista nos quadros da instituição (ρ=0,543) e à receção (ou não) de donativos alimentares (ρ=0,970).
Tabela 3 Caracterização do score da qualidade média das ementas obtido da refeição “almoço”, em função dos grupos etários

Nota: O score da qualidade média das ementas do almoço varia de 0 a 100 %.
No almoço dos 6 aos 8 meses (Gráfico 1), destacou-se o facto da sopa não incluir uma fonte proteica de origem animal nem um míni mo de três hortícolas em 30,8% (n=4) e 53,7% (n=7) das instituições, respetivamente. Por outro lado, 8 instituições (61,4%) ofereciam fruta confecionada mais do que duas vezes por semana. Dos 9 aos 11 meses (Gráfico 2) evidenciou-se, pela negativa, a oferta de sopa com componente proteica em detrimento de um prato completo em 5 instituições (38,5%), a oferta simultânea de sopa com componente proteica e de um prato completo em 7 instituições (53,8%) e a ausência de leguminosas na sopa em 12 instituições (92,3%). Pela positiva, destacou-se a ausência de alimentos pré-fritos/fritos (61,5%) e de produtos de charcutaria/salsicharia (84,6%). Nas ementas destinadas à faixa etária dos 12 aos 36 meses (Gráfico 3), realçou-se a ausência no prato de peixe gordo (n=8; 44,4%) e de ovo (n=15; 83,3%). Em contrapartida, os pratos de todas as instituições apresentavam diferentes texturas e cores. Adicionalmente, 13 instituições (72,2%) ofereciam três ou mais variedades de fruta semanalmente, sendo pelo menos uma delas rica em vitamina C em 10 dessas instituições (55,6%).
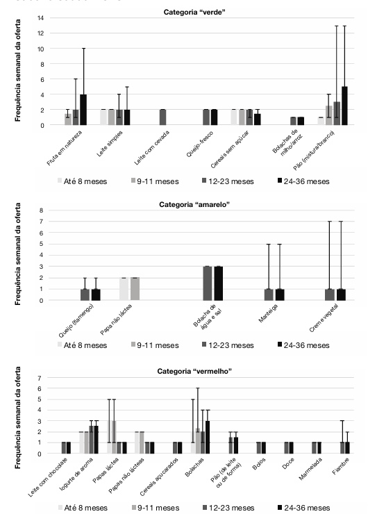
Nos lanches, em todas as instituições, verificou-se a oferta de um ou mais alimentos ou bebidas classificadas como dos grupos “amarelo” ou “vermelho” do semáforo nutricional (Gráfico 4). Especificamente, até aos 11 meses de idade, os alimentos mais oferecidos foram as papas lácteas (82,4%), a fruta em puré ou ralada/triturada (64,7%) e as bolachas (47,1% dos 6 aos 8 meses e 52,9% dos 9 aos 11 meses), como é exemplo as bolachas tipo maria, torradas e tostadas. Observou-se que os alimentos disponibilizados com maior frequência às crianças dos 12 aos 36 meses foram os iogurtes de aroma (94,4%), o pão (94,4%) e o leite simples (83,3%) (Tabela 4).

Gráfico 1 Percentual de conformidade das refeições do almoço, considerando os parâmetros da ferramenta de avaliação de ementas do Projeto Creche com Sabor e Saúde - C2S, para a faixa etária dos 6 aos 8 meses

Gráfico 2 Percentual de conformidade das refeições do almoço, considerando os parâmetros da ferramenta de avaliação de ementas do Projeto Creche com Sabor e Saúde - C2S, para a faixa etária dos 9 aos 11 meses

Gráfico 3 Percentual de conformidade das refeições do almoço, considerando os parâmetros da ferramenta de avaliação de ementas do Projeto Creche com Sabor e Saúde - C2S, para a faixa etária dos 12 aos 36 meses

Gráfico 4 Caracterização dos alimentos oferecidos aos lanches nas instituições por frequência semanal (mediana) e de acordo com as categorias do semáforo nutricional definidas no âmbito do Projeto Creche com Sabor e Saúde - C2S
DISCUSSÃO DOS RESULTADOS
Tanto quanto é do nosso conhecimento, o presente trabalho permitiu realizar, pela primeira vez, um diagnóstico da oferta alimentar em contexto de creche em Portugal. No geral, estes resultados mostram um desajuste face às orientações das entidades de saúde nacionais e internacionais para crianças com idades inferiores a 3 anos (14-16). No almoço, verificou-se uma percentagem média de conformidades de 70,6 %. Nos lanches da manhã e da tarde, observou-se que todas as instituições ofereciam, pelo menos, um alimento codificado pelo semáforo nutricional como “amarelo” ou “vermelho”. Esta classificação indica que tais alimentos não deveriam ser disponibilizados, devido ao seu elevado teor de sal, açúcar e/ou gordura. Estes resultados podem ser justificados pelo facto de, até à data de publicação do presente trabalho, em Portugal não existirem linhas de orientação para o planeamento de ementas dirigidas a creches, ao contrário do que acontece em outros países (18, 19).
Segundo a literatura, têm sido apontadas como possíveis justificações para uma oferta alimentar de adequação nutricional, a falta de profissionais com qualificação e capacitados para o planeamento, a realização e a supervisão das ementas (15-17), a falta de tempo inerente à escassez de recursos humanos e a baixa literacia alimentar/ nutricional dos profissionais responsáveis pela confeção e pelo acompanhamento das refeições (18). Ao contrário destes estudos, o presente trabalho permitiu compreender que a avaliação qualitativa das ementas não se encontra associada à presença de um nutricionista na instituição, sendo que os outros fatores supramencionados não foram alvo de investigação, o que abre espaço para novas pesquisas. Em países como a Austrália, a Polónia e o México, verificou-se que as creches não ofereciam as porções diárias definidas de hortícolas e de fruta e ofereciam em excesso alimentos e bebidas com elevados teores de açúcar e/ou gordura (20-25), o que é concordante com os resultados deste estudo.
A presente investigação mostrou que nem todas as instituições cumprem os parâmetros da ferramenta de avaliação qualitativa relativa ao almoço relacionados com a oferta de hortofrutícolas, podendo-se traduzir num aporte insuficiente de vitaminas, minerais e fibra. Para além disso, os lanches são maioritariamente compostos por alimentos com elevados teores de açúcar e/ou gordura, constituindo-se como fatores de risco para o desenvolvimento de doenças crónicas não transmissíveis como por exemplo a obesidade (26). Contudo, torna se difícil estabelecer comparações com os resultados de estudos realizados em diferentes países devido às diferenças existentes nos padrões alimentares, nas recomendações e orientações alimentares vigentes e no tempo de permanência das crianças na creche e, consequentemente, da tipologia de refeições servidas.
Verificou-se a adição de sal nas refeições dos 6 aos 8 meses em mais de 80 % das instituições e nas refeições das crianças com idades superiores a 9 meses, na totalidade dos casos. Tais práticas são discordantes com a recomendação da ESPGHAN, que desencoraja a adição de sal aos alimentos, especialmente até aos 12 meses de idade (15). O ato de adicionar sal às refeições deve-se provavelmente a uma maior aceitação das mesmas, uma vez que os bebés apresentam uma preferência inata pelo sabor salgado (27). Todavia, a ingestão precoce de sal na infância pode levar à sua ingestão excessiva ao longo do tempo e, por conseguinte, provocar o aumento do risco de desenvolver hipertensão arterial, fator de risco de doenças cardiovasculares na idade adulta, entre outras (28, 29). Torna-se, como tal, fundamental alertar para esta problemática de saúde pública e para a importância de não adicionar sal nas refeições oferecidas em contexto de creche. Indubitavelmente, as creches desempenham um papel fundamental no início da vida das crianças, influenciando os seus hábitos alimentares, os quais terão impacto na sua saúde e nos seus hábitos alimentares durante a vida adulta (30). Também os Jardins de Infância e as escolas do 1.º Ciclo do Ensino Básico influenciam o desenvolvimento de hábitos alimentares saudáveis (31). Em Portugal, nestes espaços verificam-se práticas alimentares inadequadas, tais como o fornecimento insuficiente de hortícolas na sopa e no prato, o predomínio do fornecimento de carne em detrimento do peixe e o fornecimento insuficiente de fruta fresca à sobremesa (32). Outro estudo realizado em contexto de ensino pré-escolar mostrou existir uma baixa oferta de leguminosas, de ovos como principal fonte proteica e de hortícolas diariamente no prato (33). No presente trabalho, verificou-se a oferta de alimentos processados e ultraprocessados com elevado teor de açúcar nos lanches. Particularmente, em idades inferiores a 1 ano, os alimentos oferecidos com maior frequência foram as papas infantis (com teor de açúcar igual ou superior a 20/100 g) e as bolachas tipo maria ou recheadas (com teor de açúcar igual ou superior a 15/100 g). Já nas crianças com idade superior a 1 ano destacou-se a oferta, em 94,4% das instituições, de iogurtes de aroma com um teor de açúcar igual ou superior a 15/100 g de produto. Esta oferta é alarmante, uma vez que é recomendado atrasar a introdução de açúcares de adição até aos 2 anos de idade, devido à associação que existe entre o consumo excessivo de açúcar e o desenvolvimento de doenças como a obesidade, a diabetes mellitus tipo 2, as doenças cardiovasculares e as cáries dentárias (34, 35). Para além disso, o consumo em excesso de alimentos processados com elevado teor de açúcar pode contribuir para uma maior preferência por alimentos açucarados e, consequentemente, para uma menor ingestão de alimentos de melhor qualidade nutricional, como é o caso dos hortícolas (6). Torna-se, como tal, de extrema importância apelar à redução da disponibilidade destes produtos nas creches portuguesas. Em Portugal, resultados do Projeto Upper alertam que o consumo destes alimentos é particularmente prevalente nos mais novos apesar deste estudo só incluir crianças com idade igual ou superior a 3 anos (36).
Pelo exposto torna-se fulcral intervir desde cedo em toda a comunidade escolar de forma alinhada com as famílias e ou outros cuidadores, promovendo a literacia em alimentação/nutrição e desenhando e implementando projetos de intervenção alimentar concertados, promovendo um ambiente alimentar escolar saudável, incluindo necessariamente uma oferta alimentar saudável ao longo de toda a idade pediátrica.
Os resultados inovadores do presente estudo devem, porém, ser analisados com a sua necessária cautela, no que concerne à sua extrapolação para a generalidade das creches portuguesas, uma vez que as 18 instituições incluídas neste estudo não são representativas da realidade nacional. Para além disso, não foi possível atestar se ementas planeadas, incluídas na presente análise, foram de facto servidas, pelo facto das ementas avaliadas terem sido aplicadas previamente ao inicio do projeto. Diversos estudos demonstram que as ementas das creches nem sempre espelham o fornecimento real dos alimentos, sendo a percentagem de concordância entre o que é planeado e o que é oferecido menor nos estudos de longa duração (realizados em mais do que 6 semanas) (37-40). Um estudo realizado no Brasil com duração de 6 semanas aferiu uma percentagem de concordância de 20% para a faixa etária dos 13 a 24 meses, sendo que nenhuma ementa correspondia ao almoço oferecido na faixa dos 7 a12 meses (39). Por outro lado, a análise qualitativa de ementas pode, em algumas situações, como por exemplo na avaliação dos métodos de confeção e dos teores de açúcar e/ou gordura não discriminados dos alimentos, aumentar a imprecisão da análise dos resultados, embora sempre que possível, todas as dúvidas percecionadas tenham sido esclarecidas com cada instituição. Para além disso, é importante considerar que a avaliação das ementas foi efetuada por quatro investigadores distintos. No entanto, todos eles foram devidamente treinados e participaram ativamente no planeamento da metodologia do projeto desde o início. Em contrapartida, destacam-se como pontos fortes desta investigação, o facto de tanto quanto é do nosso conhecimento, este ser o primeiro trabalho a fornecer informação concertada sobre a alimentação disponibilizada nas creches portuguesas, permitindo a identificação e priorização das principais lacunas que servirão para melhor orientar o planeamento de futuras intervenções nesta área, em prol da melhoria dos hábitos alimentares das crianças. Efetivamente, fornecer recursos para o planeamento de ementas às instituições, tais como listas de verificação, ideias de receitas e formação em alimentação e nutrição pediátrica a todos os intervenientes nestas instituições incluindo os encarregados de educação, assim como a premente necessidade de inclusão de um nutricionista a planear, monitorizar e avaliar as refeições destas crianças nas instituições, são medidas eficazes e diferenciadoras do investimento a fazer para a promoção da saúde destas crianças através da alimentação (41, 42).
CONCLUSÕES
Neste estudo, a oferta alimentar das creches mostrou-se nutricionalmente desadequada, destacando-se, no almoço, o excesso de oferta de fruta confecionada na faixa etária dos 6 aos 8 meses, a oferta simultânea de sopa e de prato com componente proteica na faixa etária dos 9 aos 11 meses e a ausência da oferta de peixe gordo e ovo no prato para os 12 aos 36 meses. No lanche, todas as instituições disponibilizavam pelo menos um alimento rico em açúcar e/ou gordura, oferecido uma vez por semana.
Sendo este período da vida uma janela de oportunidade para a aquisição de hábitos alimentares saudáveis, torna-se uma prioridade de saúde pública trabalhar na melhoria da oferta alimentar em contexto de creche.
FINANCIAMENTO
O projeto C2S foi cofinanciado pela Associação Cultural e Recreativa de Cabreiros e pela Direção-Geral da Saúde.
CONTRIBUIÇÃO DE CADA AUTOR PARA O ARTIGO
BT, MCTS, SR, AD, AG e CA: Desenvolvimento da metodologia de investigação; OP, LN, ID, MC, BCC e AJ: Recolha de dados; OP, BT e LN: Análise e interpretação dos dados recolhidos; OP: Redação do artigo; BT, LN, ID, MC, BCC, LF, AJ, MCM, MCTS, SR, AD, AG e CA: Revisão da redação do artigo e apreciação crítica do trabalho. Todos os autores leram e aprovaram a versão final do artigo.
















